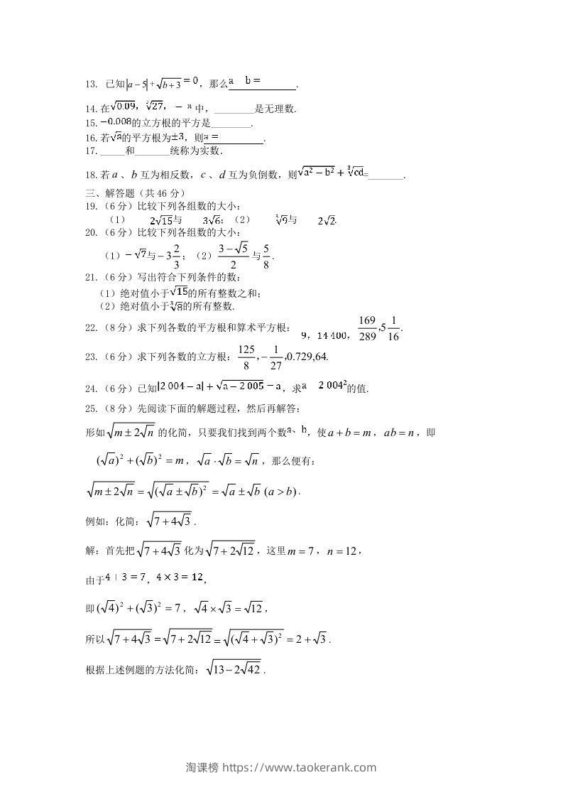
七年级下册数学第六章试卷及答案人教版(Word版)

七年级下册数学第六章试卷及答案人教版(Word版)-淘课榜
七年级下册数学第六章试卷及答案人教版(Word版)
此内容为付费资源,请付费后查看
9.919.9
立即购买
您当前未登录!建议登陆后购买,可保存购买订单
格式doc
页数25 页
大小2.15 MB
付费资源
图片[1]-七年级下册数学第六章试卷及答案人教版(Word版)-淘课榜
图片[2]-七年级下册数学第六章试卷及答案人教版(Word版)-淘课榜
图片[3]-七年级下册数学第六章试卷及答案人教版(Word版)-淘课榜

预览已结束,还剩22页未读,开通会员后可免费下载高清完整文档

© 版权声明
THE END
喜欢就支持一下吧
点赞9