2022-2023学年广东省深圳市罗湖区高三上学期期末数学试题及答案(Word版)

2022-2023学年广东省深圳市罗湖区高三上学期期末数学试题及答案(Word版)-淘课榜
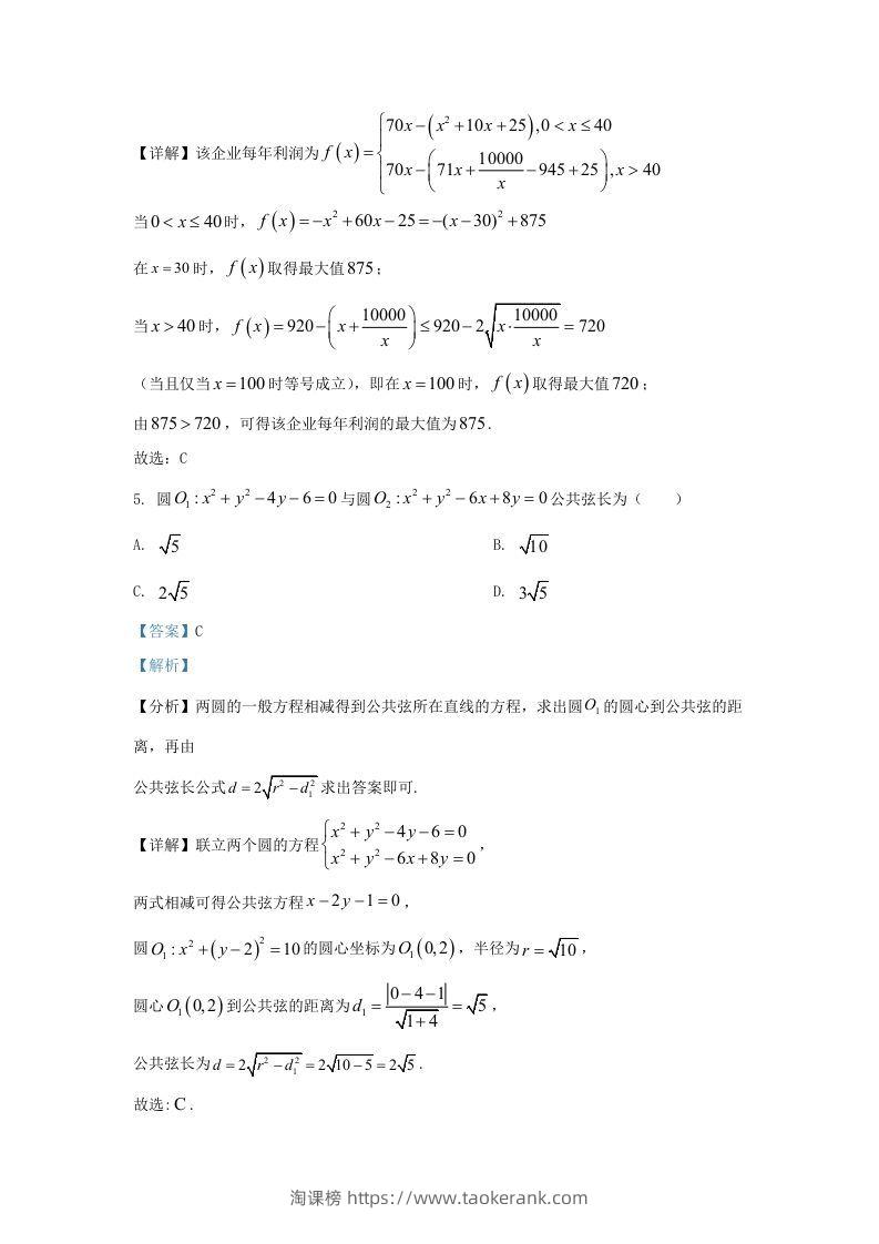
2022-2023学年广东省深圳市罗湖区高三上学期期末数学试题及答案(Word版)
此内容为付费资源,请付费后查看
9.919.9
立即购买
您当前未登录!建议登陆后购买,可保存购买订单
格式doc
页数24 页
大小3.13 MB
付费资源
图片[1]-2022-2023学年广东省深圳市罗湖区高三上学期期末数学试题及答案(Word版)-淘课榜
图片[2]-2022-2023学年广东省深圳市罗湖区高三上学期期末数学试题及答案(Word版)-淘课榜
图片[3]-2022-2023学年广东省深圳市罗湖区高三上学期期末数学试题及答案(Word版)-淘课榜

预览已结束,还剩21页未读,开通会员后可免费下载高清完整文档

© 版权声明
THE END
喜欢就支持一下吧
点赞13